比利时Quick-Step艺术木地板
-
-
-
-
欧盟FLOORSCORE(艺术木地板)
日期:2019-2020年
-
-
LEED绿色建筑评价体系(三层实木复合地板)
日期:
-
-
-
-
挥发性有机化合物(VOC)测试(LVT)
日期:2016年
-
欧盟FLOORSCORE(LVT)
日期:2016-2017年
-
-
OHSAS18001认证
日期:2017-2020年
-
-
-
芬兰M1认证(艺术木地板)
日期:2020-2023年
-
-
比利时Parky高科技实木复合地板
-
-
-
-
-
欧盟FLOORSCORE
日期:2019-2020年
-
-
-
IAC GOLD 认证(专业系列)
日期:2018年
-
IAC GOLD 认证(卓越系列)
日期:2018年
意大利Garbelotto实木复合地板
-
-
-
-
-
-
-
EPD认证(21201EPD)
日期:2021-2026年
-
EPD认证(21202EPD)
日期:2021-2026年
-
-
-
-
挥发性有机化合物(VOC)排放量
日期:2018年
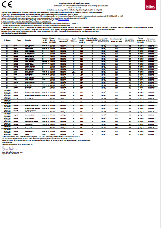
瑞典Kahrs实木复合地板
-
-
-
-
-
-
欧盟FLOORSCORE
日期:2020-2021年
葡萄牙Wicanders软木地板/墙板
-
-
-
-
-
-
绿色卫士金牌证书(粘贴地板)
日期:2010-2017年
-
-
-
绿色卫士金牌证书(锁扣地板)
日期:2010-2022年
葡萄牙Wise软木地板
-
-
-
-
-
-
EPD认证(实木印刷系列)
日期:2022-2027年
-
TÜV 认证(实木印刷系列)
日期:2020-2021年
-
-
EPD认证(实木影印系列)
日期:2022-2027年
-
TÜV 认证(实木影印系列)
日期:2020-2021年
-
芬兰Karelia三层实木地板
-
-
-
-
-
-
挥发性有机化合物(VOC)排放量
日期:2012年